Ответы
Ответ дал:
0
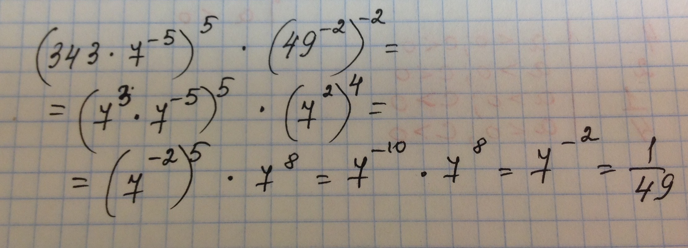
Ответ на фото/////////////
Приложения:

Ответ дал:
0
спс
Вас заинтересует
2 года назад
2 года назад
3 года назад
3 года назад
9 лет назад
9 лет назад