• Предмет: Алгебра
  • Автор: zheka9750
  • Вопрос задан 8 лет назад

Степень с натуральным показателем помогите

Приложения:

Ответы

Ответ дал: Lesben
0

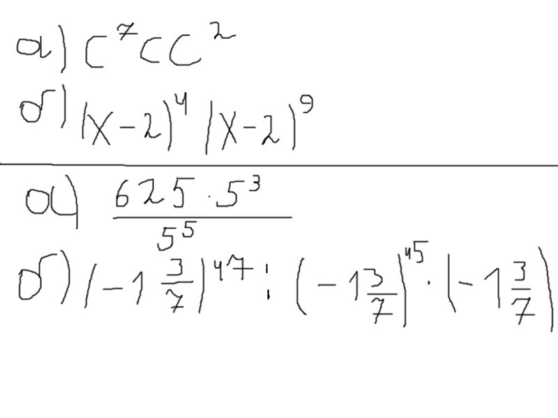
cˇ7.c.cˇ2=cˇ(7+1+2)=cˇ10

(x-2)ˇ4.(x-2)ˇ9=(x-2)ˇ(4+9)=(x-2)ˇ13

625.5ˇ3 /5ˇ5=5ˇ4.5ˇ3/5ˇ5=5ˇ7/5ˇ5=5ˇ(7-5)=5ˇ2=25

(-1 3/7)ˇ47:(-1 3/7)ˇ15 . (-1 3/7)=(-1 3/7)ˇ32 . (-1 3/7)=(-1 3/7)ˇ33

Ответ дал: zheka9750
0
Спасибо
Вас заинтересует