Ответы
Ответ дал:
0
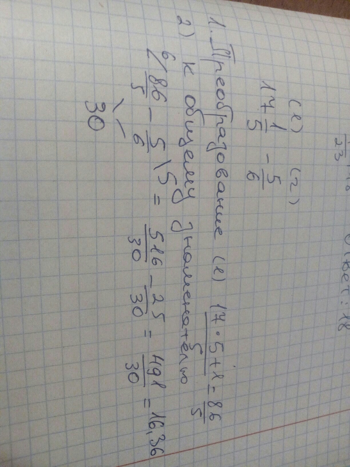
256/15 -5/6=16целых 7/30
Ответ дал:
0
решение на листе,достаточно понятно?
Приложения:

Вас заинтересует
2 года назад
3 года назад
9 лет назад
9 лет назад
9 лет назад