Ответы
Ответ дал:
0
Уравнение,должно быть верно.
Приложения:

Ответ дал:
0
Ммм.Что?
Ответ дал:
0
10 или 9 номер?
Ответ дал:
0
10
Ответ дал:
0
спасибо
Ответ дал:
0
огромное
Ответ дал:
0
н.10
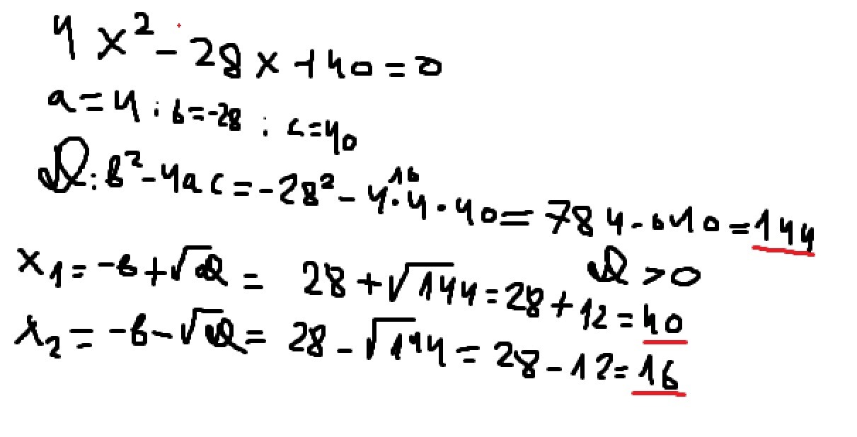
4х²-28х+40=0; :4
х²-7х+10=0;
х²-5х-2х+10=0;
х(х-2)-5(х-2)=0;
(х-5)(х-2)=0;
х-5=0; или х-2=0;
х=5. х=2.
Ответ:2;5.
н.9
**8
8** > **8 • 3 (больше на 7)
Ответ: новое число — 827
4х²-28х+40=0; :4
х²-7х+10=0;
х²-5х-2х+10=0;
х(х-2)-5(х-2)=0;
(х-5)(х-2)=0;
х-5=0; или х-2=0;
х=5. х=2.
Ответ:2;5.
н.9
**8
8** > **8 • 3 (больше на 7)
Ответ: новое число — 827
Приложения:

Ответ дал:
0
ты священный человек, спасибо огромное✌️
Ответ дал:
0
если не сложно, то отметьте мой ответ, как лучший✌️
Ответ дал:
0
ок)
Вас заинтересует
2 года назад
3 года назад
3 года назад
9 лет назад
9 лет назад