Ответы
Ответ дал:
0
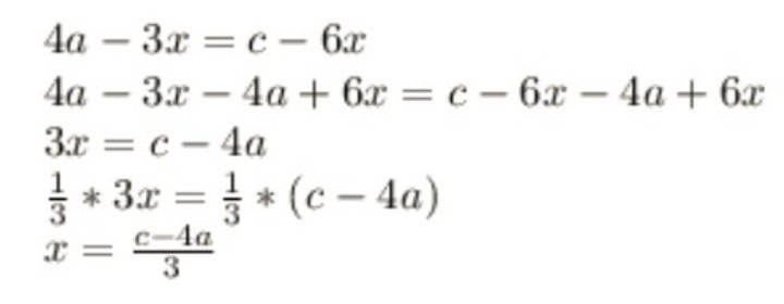
4a - 3x = c - 6x
4a - 3x - 4a + 6x = c - 6x - 4a + 6x
3x = c - 4a
1/3 * 3x = 1/3 * (c - 4a)
x = c - 4a / 3
4a - 3x - 4a + 6x = c - 6x - 4a + 6x
3x = c - 4a
1/3 * 3x = 1/3 * (c - 4a)
x = c - 4a / 3
Приложения:

Вас заинтересует
2 года назад
3 года назад
3 года назад
9 лет назад
9 лет назад