• Предмет: Алгебра
  • Автор: gjdjdjd
  • Вопрос задан 8 лет назад

Помогите пожалуйста алгебра Даю много Баллов

Приложения:

Ответы

Ответ дал: MizoriesKun
0

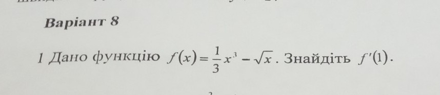
f⁾((x)= (x³/3  -√x)⁾ = x² - 1 /2√x

f⁾((1)= 1² - 1/2√1 = 1 - 1/2 = 1/2

Ответ дал: gjdjdjd
0
что означают скобочки сверху?
Ответ дал: Universalka
0

f(x)=frac{1}{3}x^{3}-sqrt{x}\\f'(x)=frac{1}{3}(x^{3})'-(sqrt{x})'=frac{1}{3}*3x^{2}-frac{1}{2sqrt{x} }=x^{2}-frac{1}{2sqrt{x} } \\f'(1)=1^{2}-frac{1}{2sqrt{1} }=1-frac{1}{2}=frac{1}{2}=0,5

Вас заинтересует