• Предмет: Алгебра
  • Автор: myr8myr8myr8
  • Вопрос задан 8 лет назад

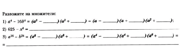
Решите уравнения, задания в картинке. Срочно!

Приложения:

Ответы

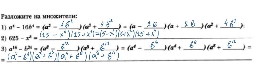
Ответ дал: mrKITTYmeow
0
ответы на фотографии.
Приложения:
Вас заинтересует