• Предмет: Алгебра
  • Автор: myr8myr8myr8
  • Вопрос задан 8 лет назад

Решите уравнения, задания в картинке. Срочно!

Приложения:

Ответы

Ответ дал: ivanovimon2014
0
Учи формулы сокращённого умножения)
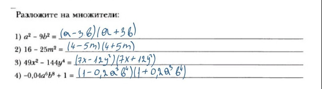
Приложения:
Ответ дал: val2004
0
вот если что а²-б²=(а-б)(а+б)
Ответ дал: mrKITTYmeow
0
Во-первых, эти задания не уравнения.
Во-вторых, учи формулы сокращённого умножения.
Приложения:
Вас заинтересует