• Предмет: Алгебра
  • Автор: kasour
  • Вопрос задан 8 лет назад

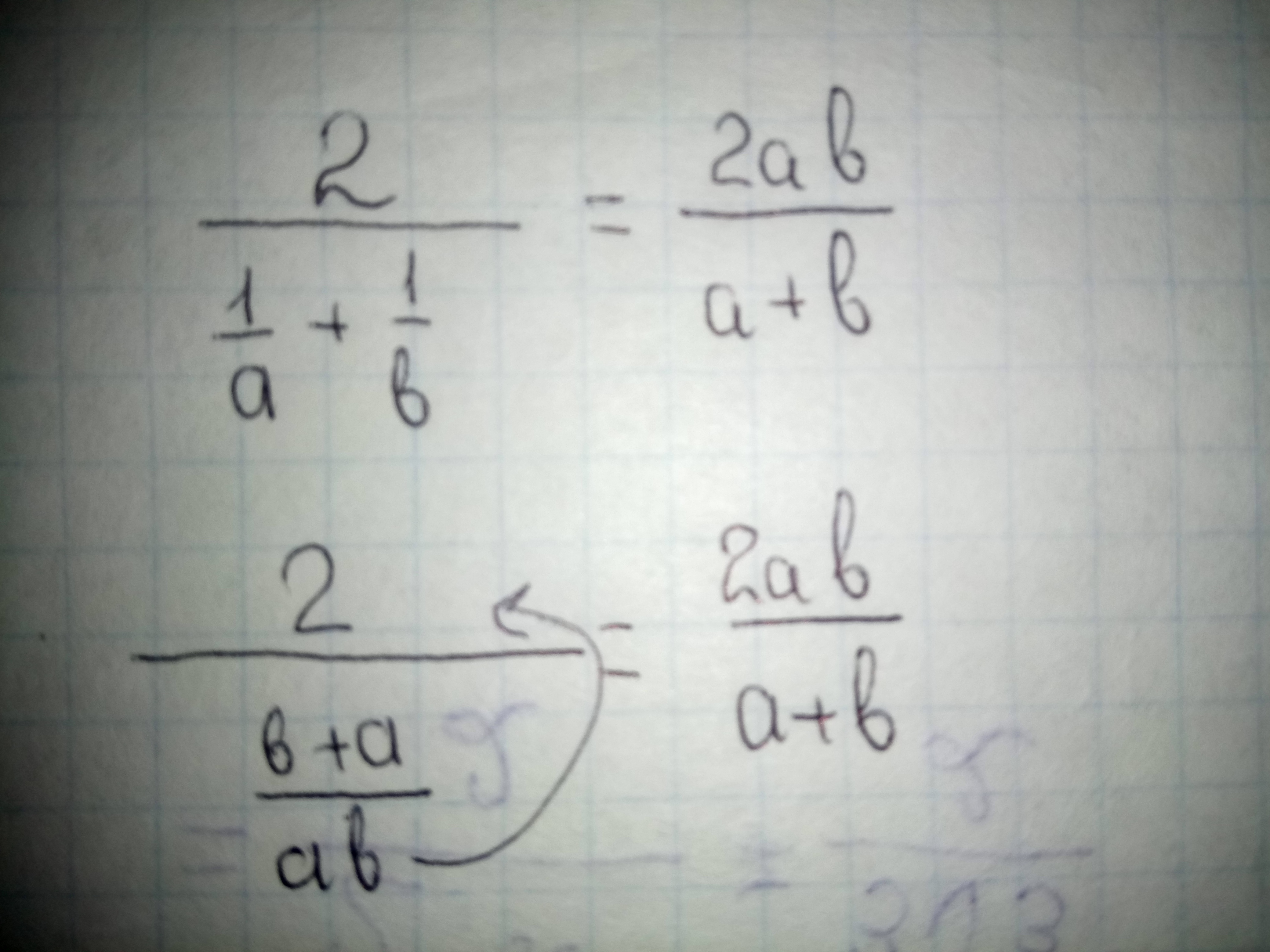
Как приобразовали это выражение?

Приложения:

Ответы

Ответ дал: SmartCin4376
0

Дроби в знаменателе привели к общему знаменателю а именно:

1/a+1/b = a+b/ab

Затем ab переносим в числитель и получаем 2ab/a+b

Ответ дал: valenivan
0

Решение задания приложено

Приложения:
Вас заинтересует