• Предмет: Математика
  • Автор: nastya112752
  • Вопрос задан 8 лет назад

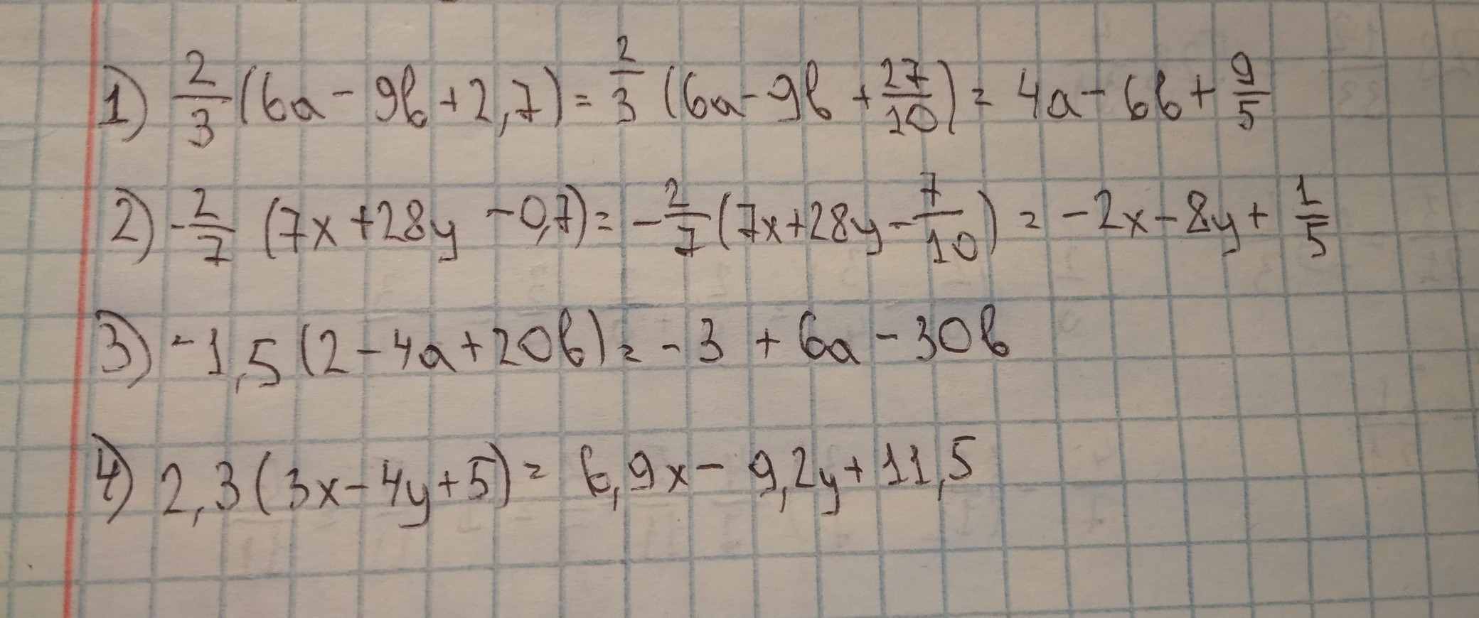
Раскройте скобки в алгебраических выражениях: 1) 2/3 (6а - 9b + 2,7) ; 2) -2/7 ( 7х + 28у - 0,7) ; 3) -1,5 ( 2 - 4а + 20b) ; 4) 2,3 ( 3х - 4у + 5). Пж надо срочно!!

Ответы

Ответ дал: Дейлионна
0
Ответ смотри на фото
Приложения:
Ответ дал: Seyitmyradova78
0
...................... ...
Приложения:
Вас заинтересует