• Предмет: Алгебра
  • Автор: illay2001
  • Вопрос задан 8 лет назад

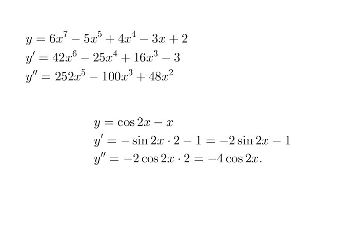
знайти другу похідну функції

Приложения:

Ответы

Ответ дал: genius20
0

Если появятся какие-нибудь вопросы — задавайте.

Приложения:
Вас заинтересует