Ответы
Ответ дал:
0
Если моё решение оказалось полезным, смело отмечайте его как «лучший ответ».
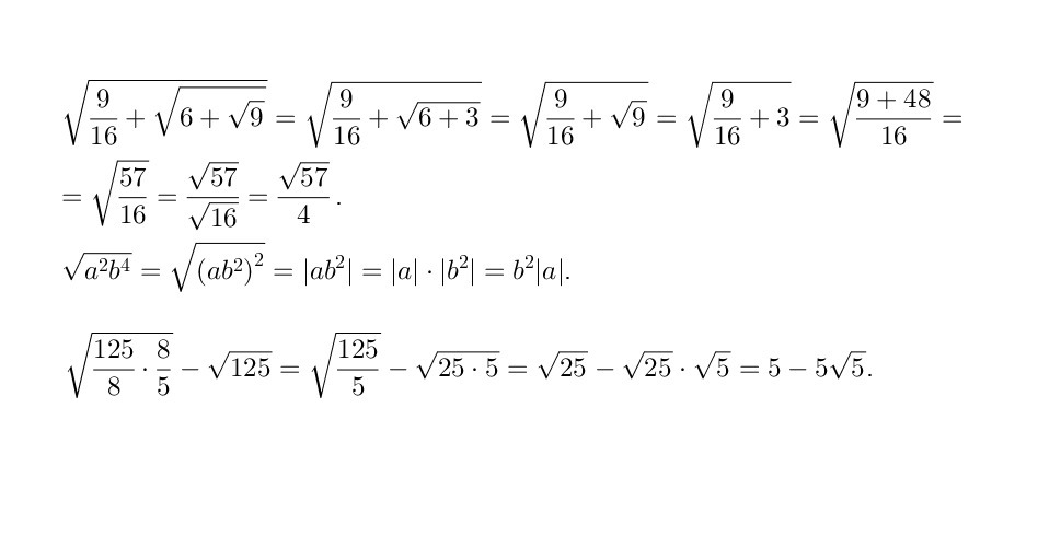
Приложения:

Ответ дал:
0
Спасибо!
Вас заинтересует
2 года назад
2 года назад
3 года назад
9 лет назад
9 лет назад
9 лет назад