Вариант 1. 50 баллов.
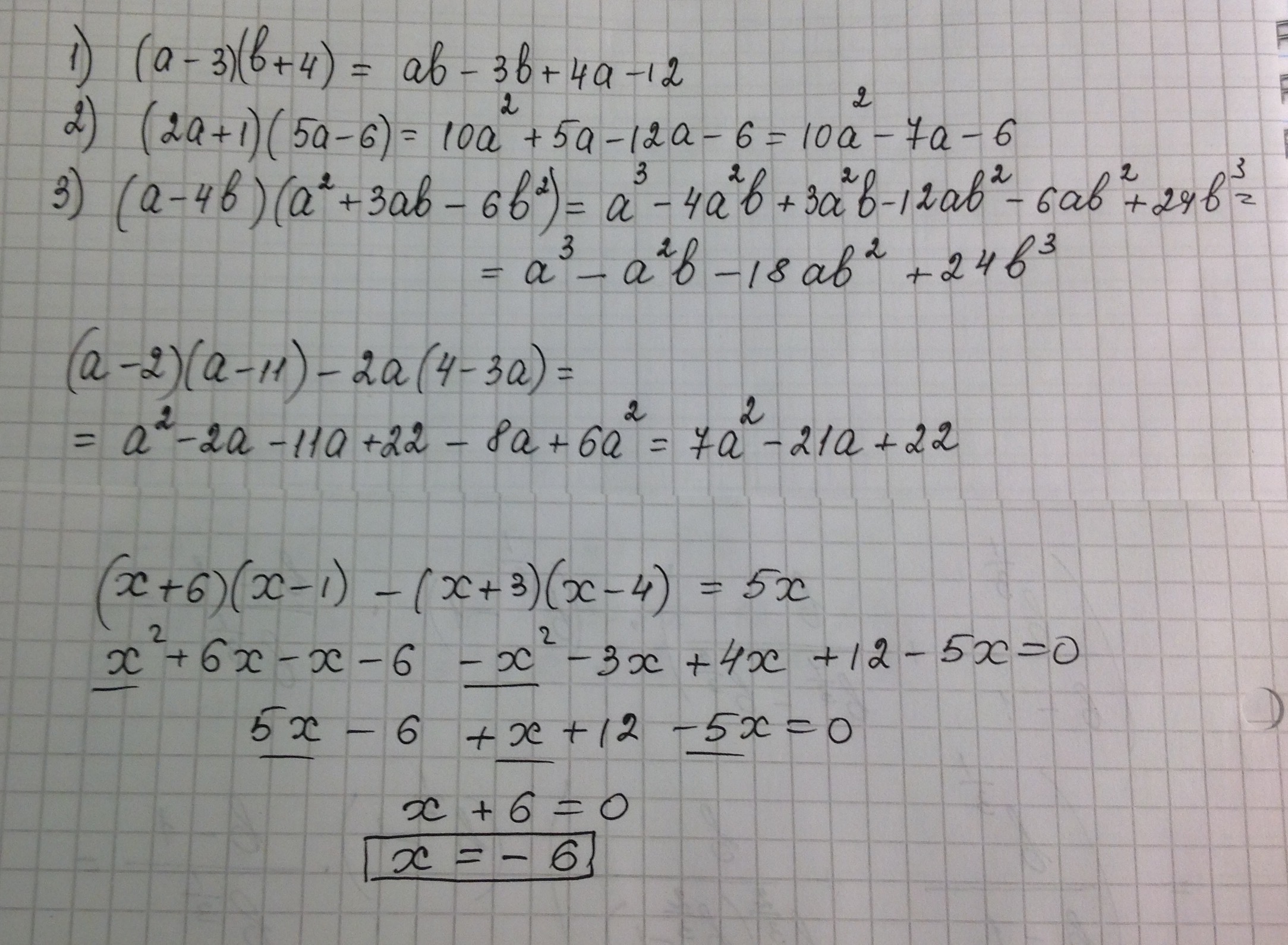
n1. Преобразовать выражение в многочлен:
1) (a-3)(b+4) 2) (2a+1)(5a-6) 3) (a-4b)(
+3ab-
)
n2. Упростить выражение:
(a-2)(a-11)-2a(4-3a)
n3. Решить уравнение.
(x+6)(x-1)-(x+3)(x-4)=5x
Ответы
Ответ дал:
0
1)ab-3b+4a-12
2) 10a²-12a+5a-6
3) (а-4b)(a²+3ab-6b²)= a³-4a²b+3a²b-12ab²-6ab²+24b³= a³-a²b-18ab²+24b³
n2
a²-11a+22-2a - 8a+6a²= 7a²-19a+22
n3
x²-x+6x-6-x²-4x+3x-12 - 5x =0
-1x-12=0
X=-12
2) 10a²-12a+5a-6
3) (а-4b)(a²+3ab-6b²)= a³-4a²b+3a²b-12ab²-6ab²+24b³= a³-a²b-18ab²+24b³
n2
a²-11a+22-2a - 8a+6a²= 7a²-19a+22
n3
x²-x+6x-6-x²-4x+3x-12 - 5x =0
-1x-12=0
X=-12
Ответ дал:
0
Ответ на фото/////////////
Приложения:
Вас заинтересует
2 года назад
3 года назад
9 лет назад