• Предмет: Алгебра
  • Автор: igor20m
  • Вопрос задан 8 лет назад

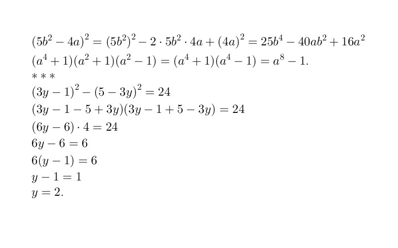
Розвяжіть 1 і 2 пж срочно 30 балов

Приложения:

Ответы

Ответ дал: genius20
0

Если моё решение оказалось полезным, смело отмечайте его как «лучший ответ».

Приложения:
Вас заинтересует