• Предмет: Математика
  • Автор: ievghienii03
  • Вопрос задан 8 лет назад

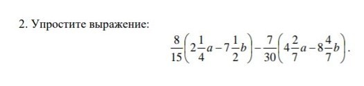
Сделай задание..........

Приложения:

Ответы

Ответ дал: fanta2310
0

Ответ:

см фото

Пошаговое объяснение:


Приложения:
Вас заинтересует