• Предмет: Алгебра
  • Автор: darv85
  • Вопрос задан 8 лет назад

10 мин до звонка срочно!!!!

Приложения:

Ответы

Ответ дал: MaxikMK
0

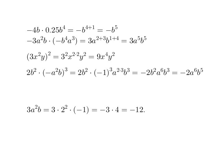
# Задание 1

а) -4b cdot 0,25b^4 = -(4 cdot 0,25)b^{1 + 4} = -1cdot b^5 = -b^5;

б) -3a^2b cdot (-b^4a^3) = 3a^{2 + 3}b^{1 + 4} = 3a^5b^5.

# Задание 2

а) (3x^2y)^2 = 3^2cdot (x^2)^2cdot y^2 = 9x^{2*2}y^2 = 9x^4y^2;

б) 2b^2 cdot (-a^2b)^3 = -2b^2cdot a^{2*3}b^3 = -2a^{6}b^{2 + 3} = -2a^6b^5.

# Задание 3

3a^2b = big[a = 2;; b = -1big] = 3cdot 2^2cdot (-1) = -3cdot 4 = -12.

Ответ дал: genius20
0

Решение на скриншоте.


......................

Приложения:
Вас заинтересует