• Предмет: Математика
  • Автор: ViologiMik
  • Вопрос задан 8 лет назад

Решите уравнения,плиз,Срочно!!?

Приложения:

Ответы

Ответ дал: isaevaliza09
0
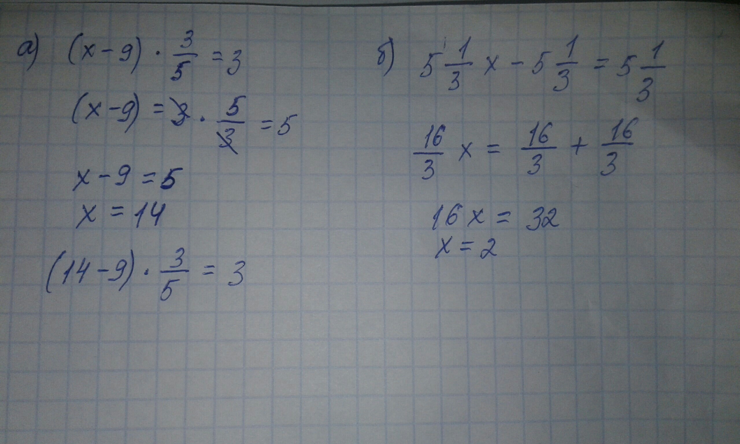
⬆⬆⬆⬆⬆⬆⬆⬆ответ в листе ⬆⬆⬆⬆⬆⬆
Приложения:
Ответ дал: likliya2007
0
б) домножаем всё на 3
Ответ дал: likliya2007
0
16х-16=16
Ответ дал: likliya2007
0
16х=32
Ответ дал: ViologiMik
0
ок,спасибо
Вас заинтересует