• Предмет: Математика
  • Автор: Diana7271
  • Вопрос задан 8 лет назад

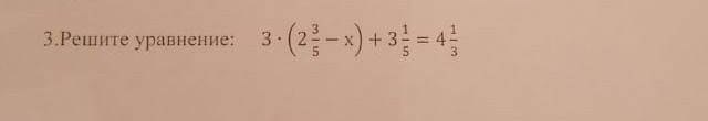
плииииииииииииииииимииииииизззз при

Приложения:

Ответы

Ответ дал: AnnKuz007
0

Ответ:


Пошаговое объяснение:


Приложения:
Ответ дал: VladimirKilin
0
Решение уравнения на фото.
Приложения:
Вас заинтересует