• Предмет: Математика
  • Автор: dilnaz990
  • Вопрос задан 8 лет назад

Выполни действия 3 целых 1/3 / 2/3 X 1/5 помогите пожалуйста

Приложения:

Ответы

Ответ дал: alesyaperova
0

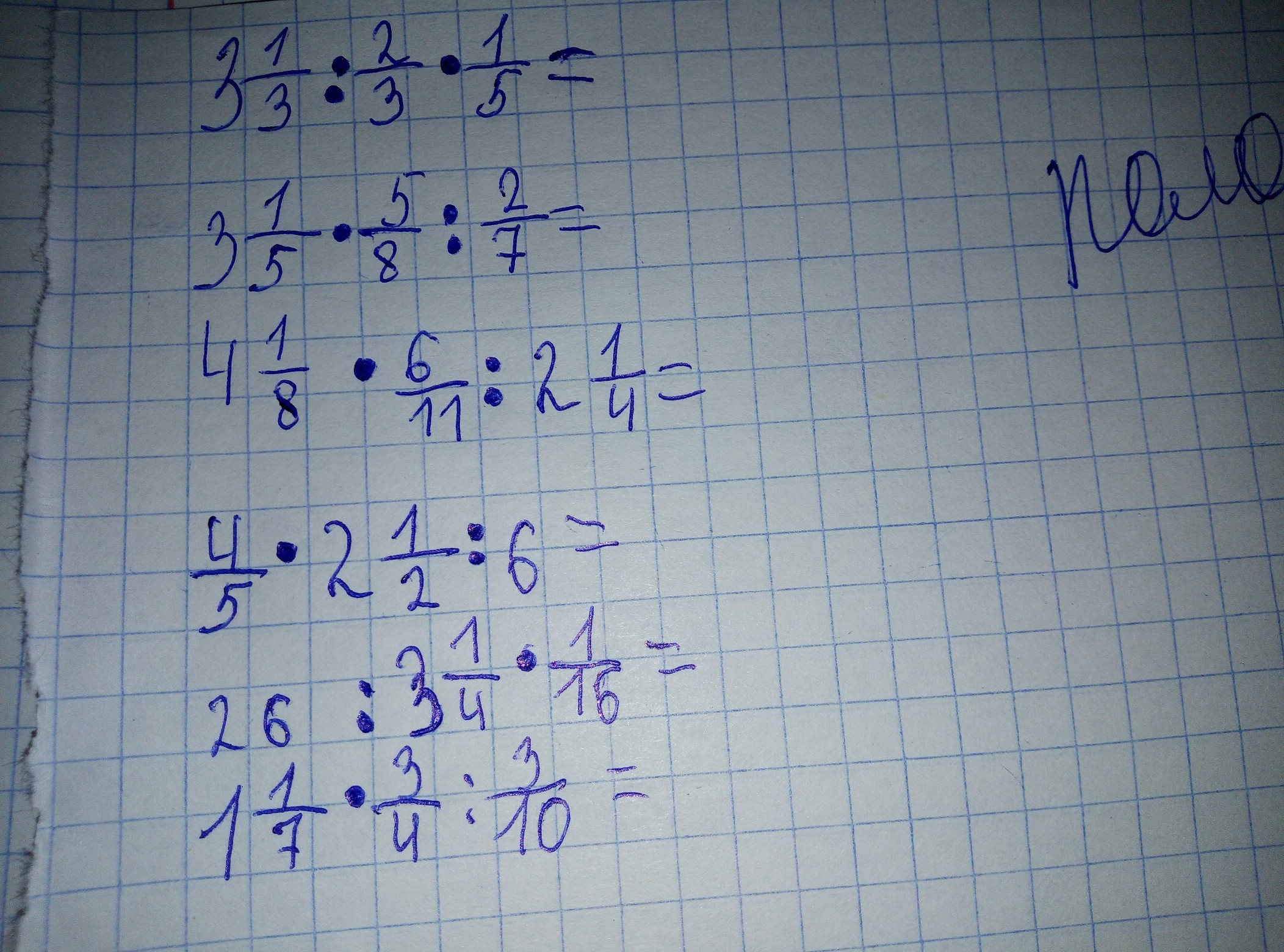
3 frac{1}{3}  div  frac{2}{3}  times  frac{1}{5}  =  frac{10}{3}  times  frac{3}{2}  times  frac{1 }{5}  = 1
3 frac{1}{5}  times  frac{5}{8}  div  frac{2}{7}  =  frac{16}{5}  times  frac{5}{8}  times  frac{7}{2}  = 7
4 frac{1}{8}  times  frac{6}{11}  div 2 frac{1}{4}  =  \  frac{33}{8}  times frac{6}{11}  times  frac{4}{9}  =  frac{9}{4}  times  frac{4}{9}  = 1
26 div 3 frac{1}{4}  times  frac{1}{16}  =  \ 26 times  frac{4}{13}  times  frac{1}{16}  =  frac{1}{2}
1 frac{1}{7}  times  frac{3}{4}  div  frac{3}{10}  =   \ frac{8}{7}  times  frac{3}{4}  times  frac{10}{3}  =   frac{6}{7}  times  frac{10}{3}  =  frac{20}{7}
 = 2 frac{6}{7}
Ответ дал: dilnaz990
0
спасибо большое за помощь
Ответ дал: alesyaperova
0
не за что
Вас заинтересует