Ответы
Ответ дал:
0
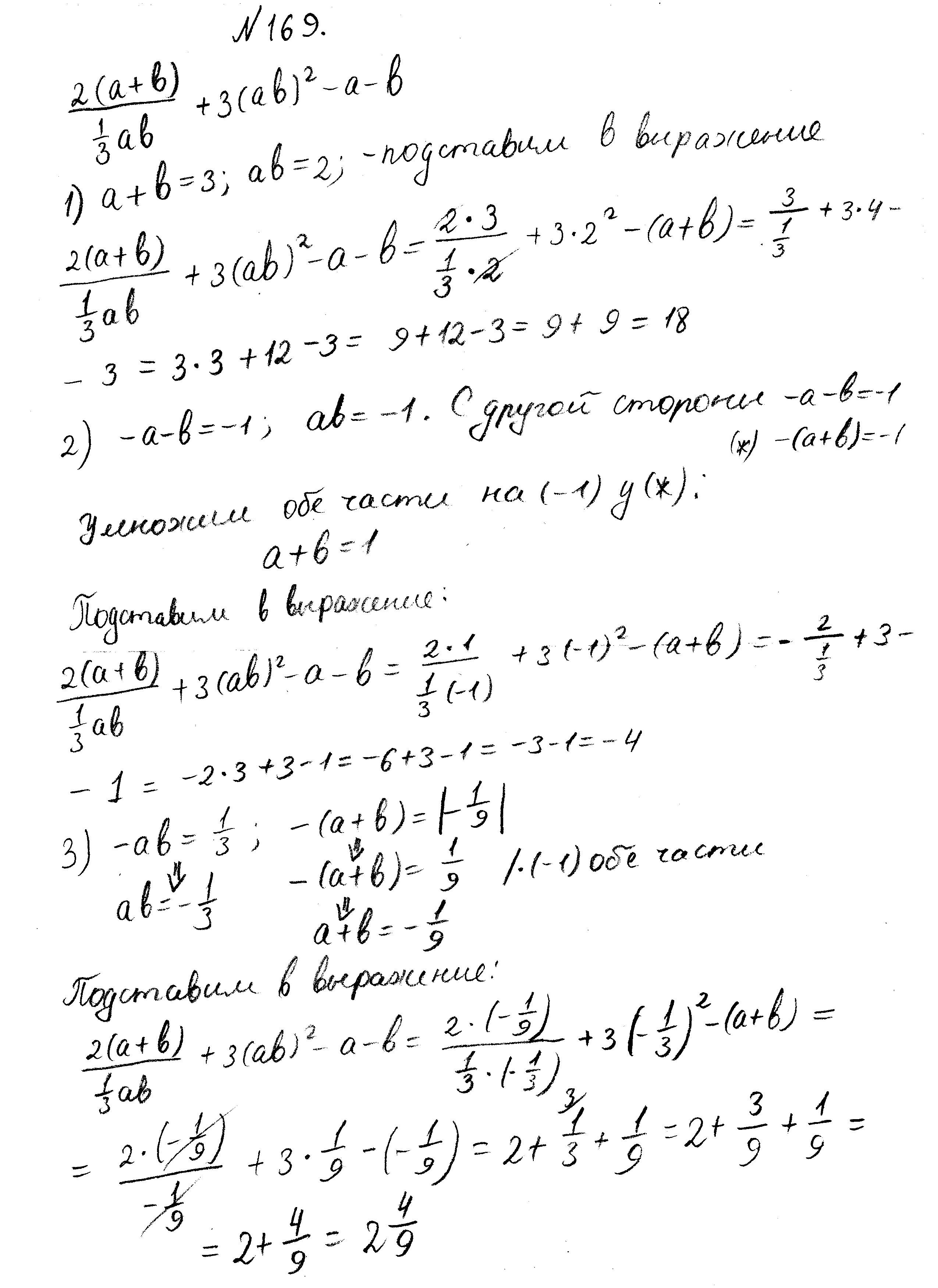
Ответ:
1) 18
2) -4
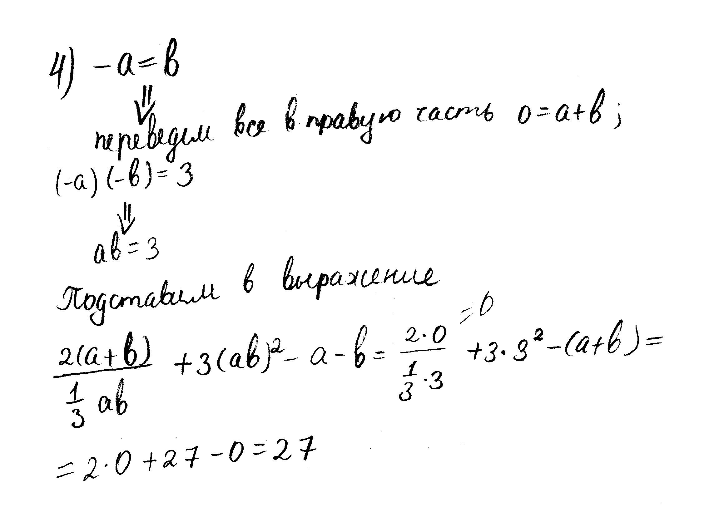
3)
4) 27
Пошаговое объяснение:
Решение в приложении.
Приложения:


Вас заинтересует
3 года назад
9 лет назад
9 лет назад