• Предмет: Математика
  • Автор: novichkovanata
  • Вопрос задан 8 лет назад

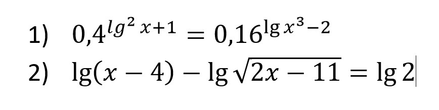
срочно, решите пожалуйста

Приложения:

Ответы

Ответ дал: kirichekov
0
решение во вложении....
Приложения:
Вас заинтересует