8 класс
Тема: Корень
Задали вот ета чуда 1 и 2 смог решить 3,4,5 скок не пытался ответ карявый мягко говоря.
Заранее спасибо.
Приложения:

Ответы
Ответ дал:
0
Пятый сорри , не знаю
Приложения:

Ответ дал:
0
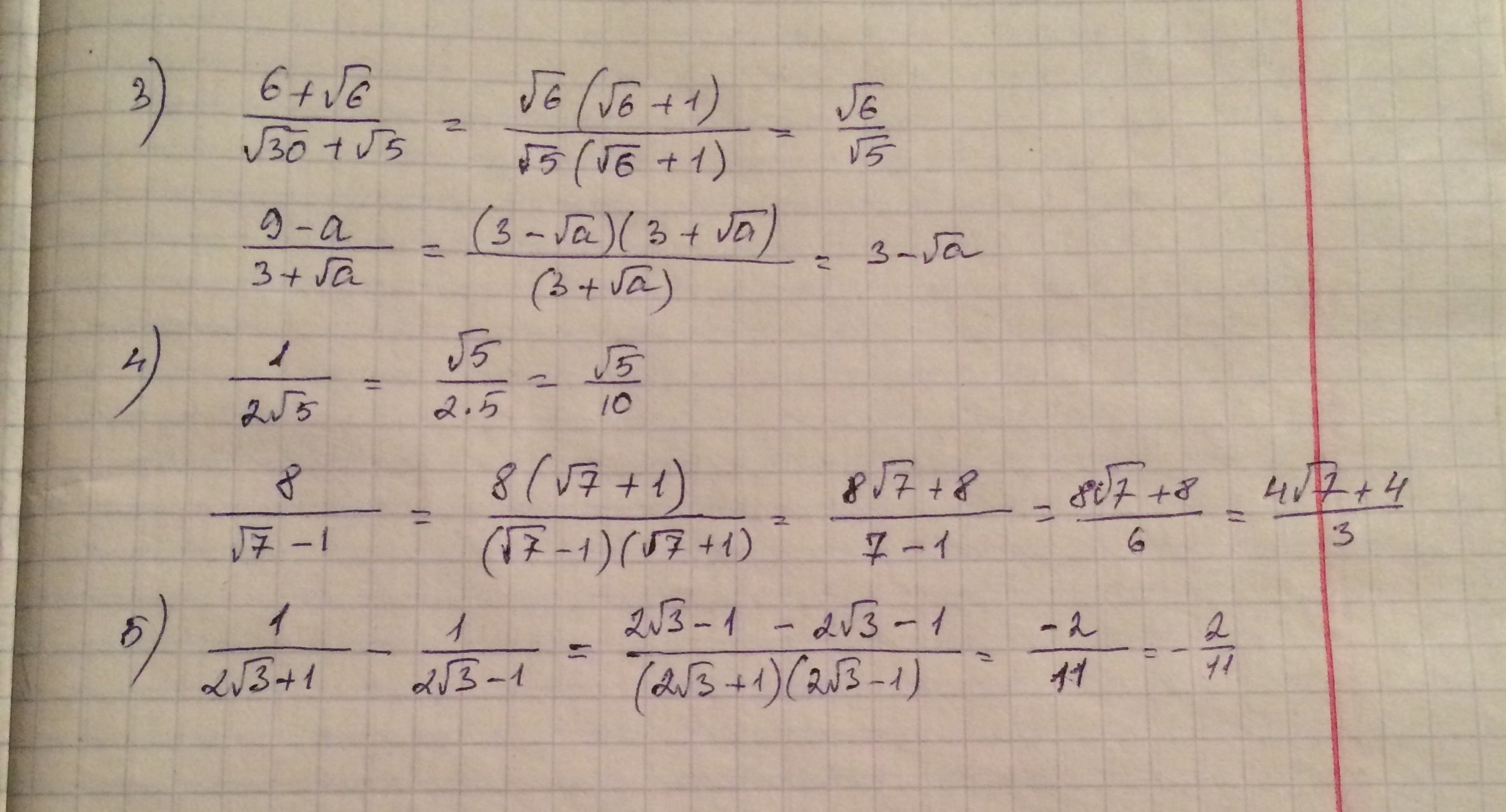
в 3 а) выносим общий множитель, в б) в числителе разность квадратов.
В 4 домнажаем одновременно и числитель и знаменатель так чтобы избавиться от корня в знаменателе
В 5 приводим к общему знаменателю и упрощаем. Получили число в виде обыкновенной дроби, это и есть число рациональное.
Приложения:

Вас заинтересует
2 года назад
3 года назад
3 года назад
9 лет назад
9 лет назад
9 лет назад