Ответы
Ответ дал:
0
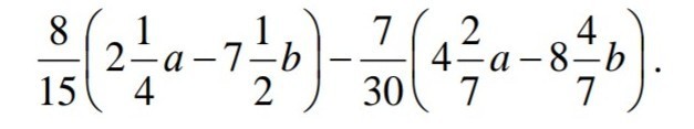
Вот, надеюсь, что всё видно)))
Приложения:

Ответ дал:
0
спасибо
Ответ дал:
0
Пожалуйста)))
Вас заинтересует
2 года назад
3 года назад
3 года назад
9 лет назад
9 лет назад
9 лет назад
9 лет назад