• Предмет: Алгебра
  • Автор: alex5024
  • Вопрос задан 8 лет назад

Дам 40 баллов!!!!!!!!!

Приложения:

Ответы

Ответ дал: brainliy
0
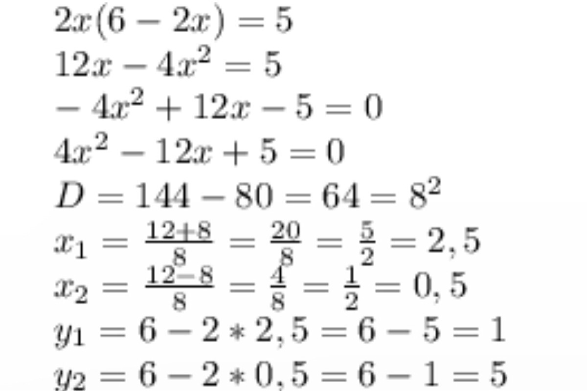
ответ (2,5,1),(0,5,5)
Приложения:
Вас заинтересует