Ответы
Ответ дал:
0
Посмотрите предложенное решение; ответы отмечены цветным.
Приложения:

Ответ дал:
0
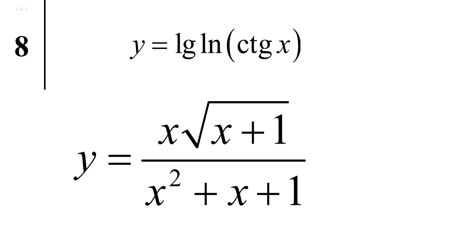
1 пример выполнен не корректно, 2 верно
Ответ дал:
0
Подскажите, пжл, после какого знака равенства некорректность, или Вам удобный формат. Спасибо.
Ответ дал:
0
Расчет не тем путем начинается сразу после записи y', правильное начало выглядит так y'=(lgln(ctgx))' и так далее
Вас заинтересует
2 года назад
2 года назад
3 года назад
9 лет назад
9 лет назад
9 лет назад