• Предмет: Алгебра
  • Автор: girl3536
  • Вопрос задан 8 лет назад

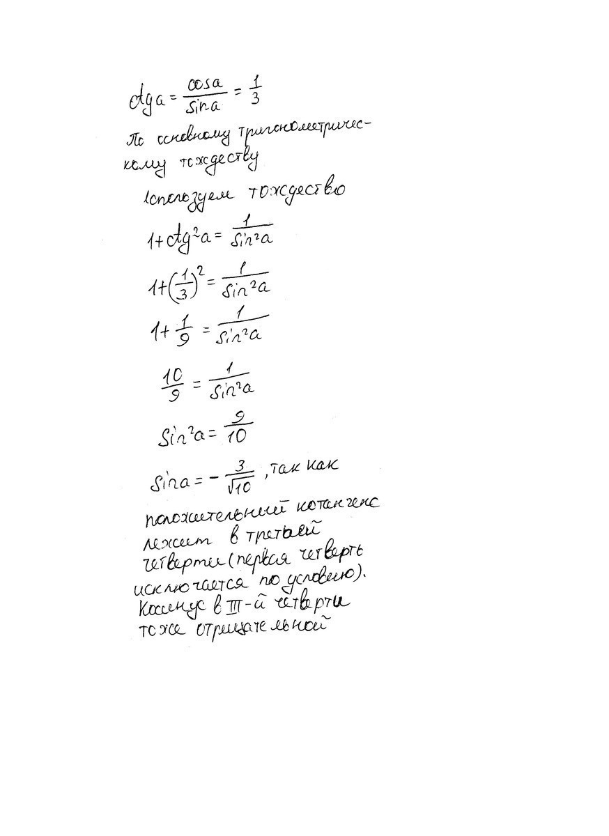
найдите cos a и ctg a, если известно, что sin a= 1/3 и a не лежат в первой четверти.

Ответы

Ответ дал: gerasim26
0
вроде как то так если поймёшь
Приложения:
Вас заинтересует