• Предмет: Алгебра
  • Автор: qwerty010148
  • Вопрос задан 8 лет назад

Помогите пожалуйста, выражение под б

Приложения:

Ответы

Ответ дал: tomurrostyle
0
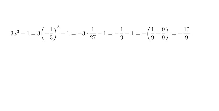
3*(-1/3)^3-1=3*(-1/27)-1=-1/9-1=-1 1/9

/- знак дроби.
Ответ дал: genius20
0

.....................

Приложения:
Вас заинтересует