Ответы
Ответ дал:
0
Проверь на всякий случай.
Приложения:
Ответ дал:
0
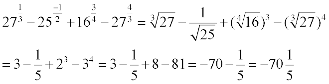
27^(1/3)=3
25^(-1/2)=1/5
16^(3/4)=2^3=8
27^(4/3)=3^4=81
3-1/5+8-81=-351/5=-70.2
25^(-1/2)=1/5
16^(3/4)=2^3=8
27^(4/3)=3^4=81
3-1/5+8-81=-351/5=-70.2
Приложения:
Вас заинтересует
3 года назад
3 года назад
8 лет назад
8 лет назад
11 лет назад
11 лет назад
11 лет назад