• Предмет: Алгебра
  • Автор: Nanler
  • Вопрос задан 11 лет назад

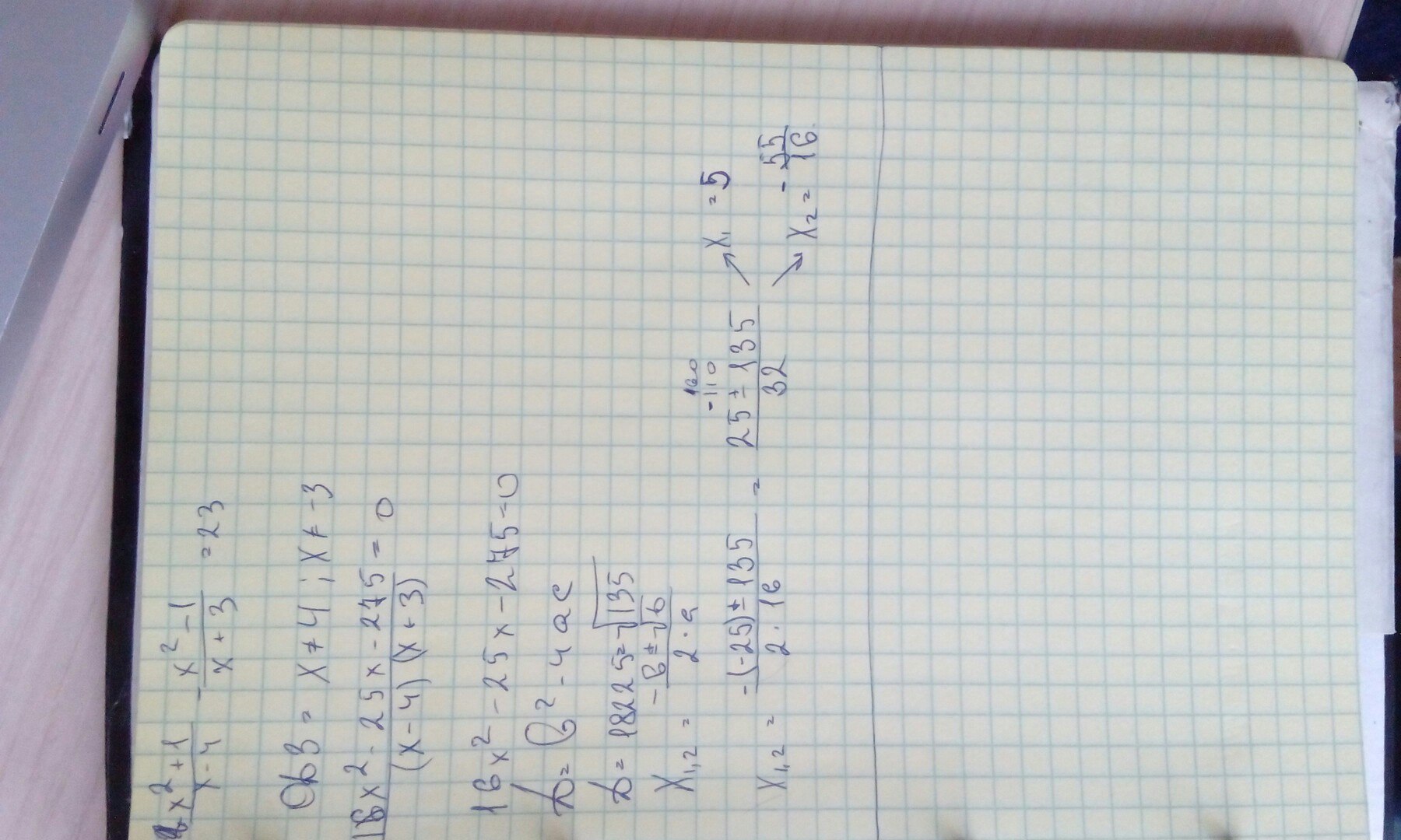
X^2+1/X-4 - X^2-1/X+3 = 23 

Ответы

Ответ дал: dimanzakharov
0
[tex]frac{x^2+1}{x-4}- frac{x^2-1}{x+3}=23 \ ODZ: xneq-3;xneq 4 \ frac{16x^2-25x-275}{(x-4)(x+3)}=0 \ 16x^2-25x-275=0 \ D=18225 = sqrt{135} \ x1=5 \ x2=- frac{55}{16}
Приложения:
Вас заинтересует