• Предмет: Математика
  • Автор: olaf24
  • Вопрос задан 8 лет назад

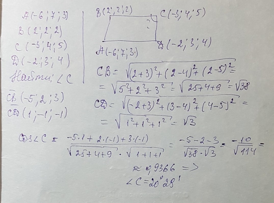
Помогите срочно! Точки: A(-6;7;3), B(2;2;2), C(-3;4;5), D(-2;3;4). Найдите ∠C

Ответы

Ответ дал: 1233090
0
решение задания смотри на фотографии
Приложения:
Вас заинтересует