Ответы
Ответ дал:
0
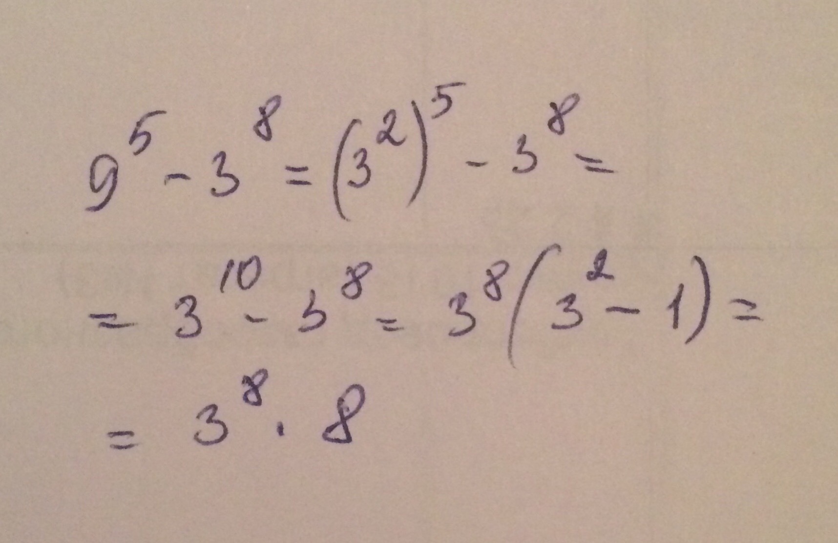
Запишем 9=3^2 и вынесем общий множитель. Общий множитель равен 8, следовательно, число кратно 8.
Приложения:

Вас заинтересует
2 года назад
2 года назад
3 года назад
3 года назад
9 лет назад
9 лет назад