• Предмет: Математика
  • Автор: staller200
  • Вопрос задан 8 лет назад

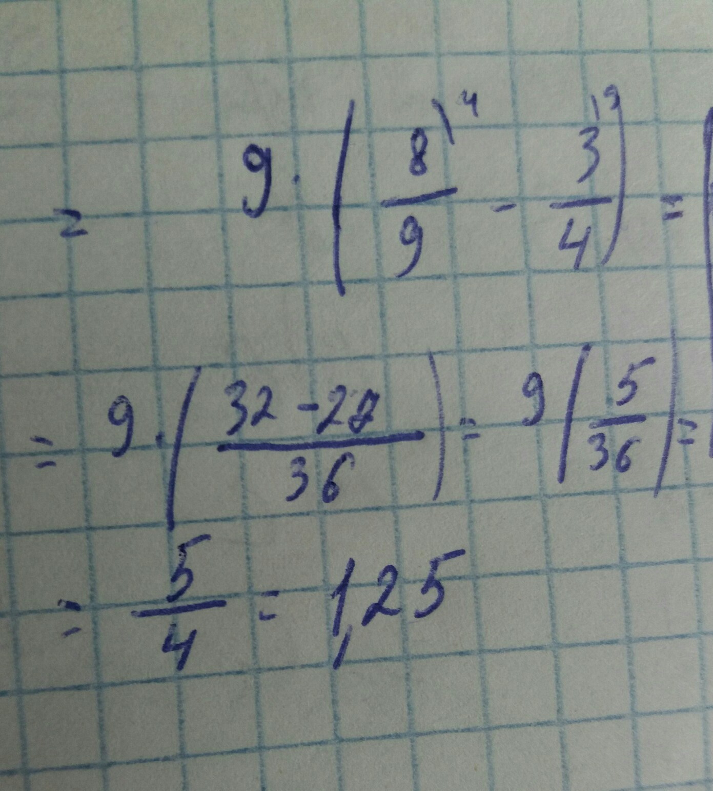
Вычислите: 9*(8/9-3/4)
СРОЧНО ЗАРАНЕЕ СПАСИБО!!!

Ответы

Ответ дал: Vasylii
0
Ответ: 1.25. Удачи в учебе. (Открой фотку, а то видно только среднюю строчку)
Приложения:
Вас заинтересует