• Предмет: Математика
  • Автор: nargiza3189
  • Вопрос задан 8 лет назад

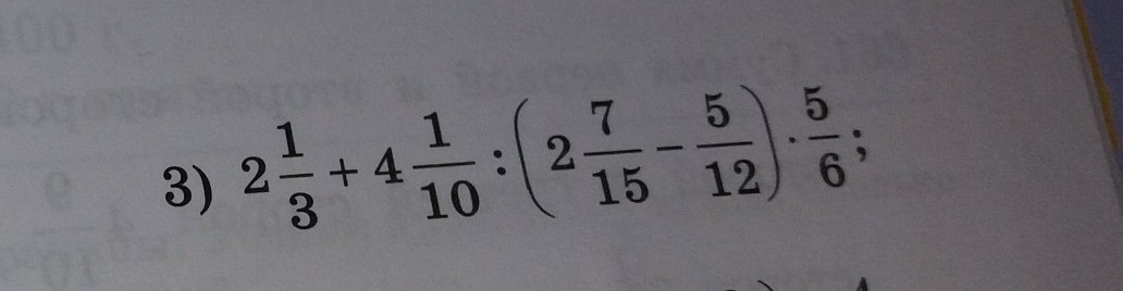
помогите решить пример пожалуйста

Приложения:

Ответы

Ответ дал: kirrrr6
0
4 вот ответ ...........
Ответ дал: kirrrr6
0
ответ 4
Ответ дал: kirrrr6
0
=4
Ответ дал: nargiza3189
0
а точно правильно?
Ответ дал: kirrrr6
0
я через фотомах делал
Ответ дал: nargiza3189
0
а ну ладно спасибо
Вас заинтересует