• Предмет: Математика
  • Автор: Shveczova01
  • Вопрос задан 8 лет назад

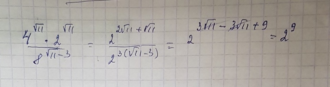
как решать?помогите егэ

Приложения:

Ответы

Ответ дал: 1233090
0
решение задания смотри на фотографии
Приложения:
Вас заинтересует