• Предмет: Алгебра
  • Автор: yvshshsushsh
  • Вопрос задан 8 лет назад

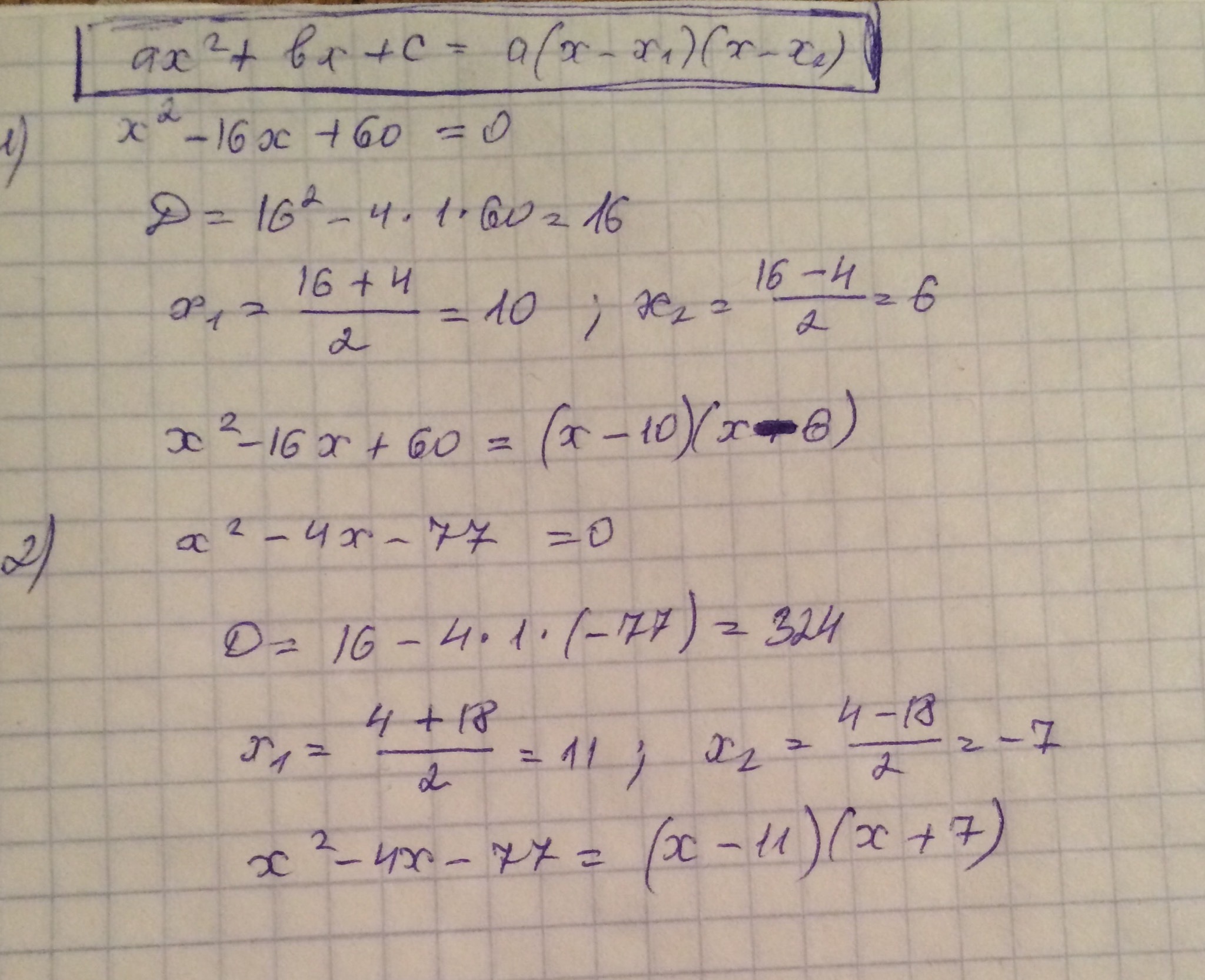
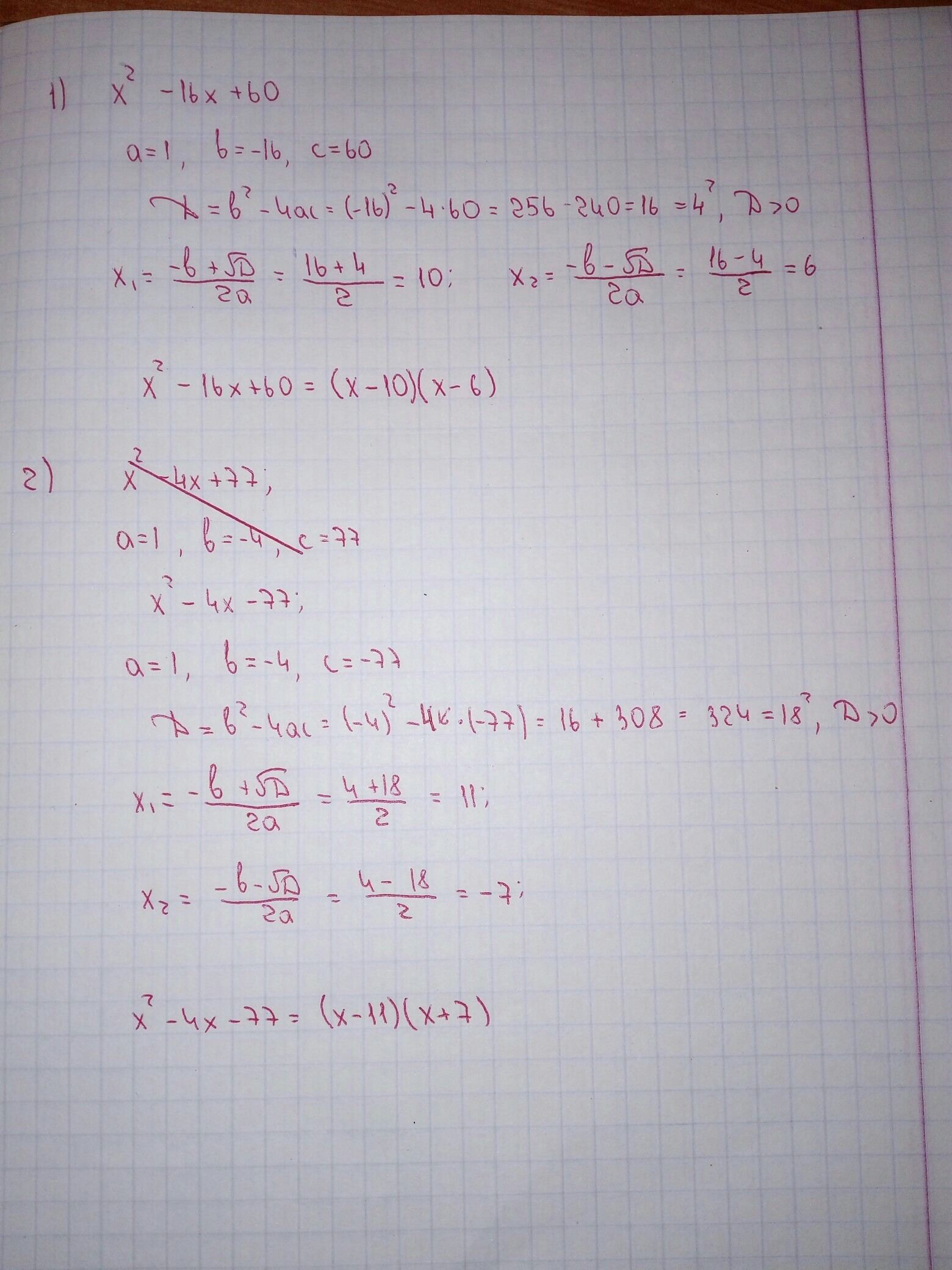
Разложите на множетили квадранный трехчлен
1)x в квадрате -16x + 60
2)x в квадрате -4х-77

Ответы

Ответ дал: tatnik12
0

Находим корни квадратного уравнения и воспользовавшись формулой разложения на множители квадратного трёхчлена:

Приложения:
Ответ дал: namiko087
0
Вот... )))))))))))))
Приложения:
Вас заинтересует