• Предмет: Математика
  • Автор: asg94445
  • Вопрос задан 8 лет назад

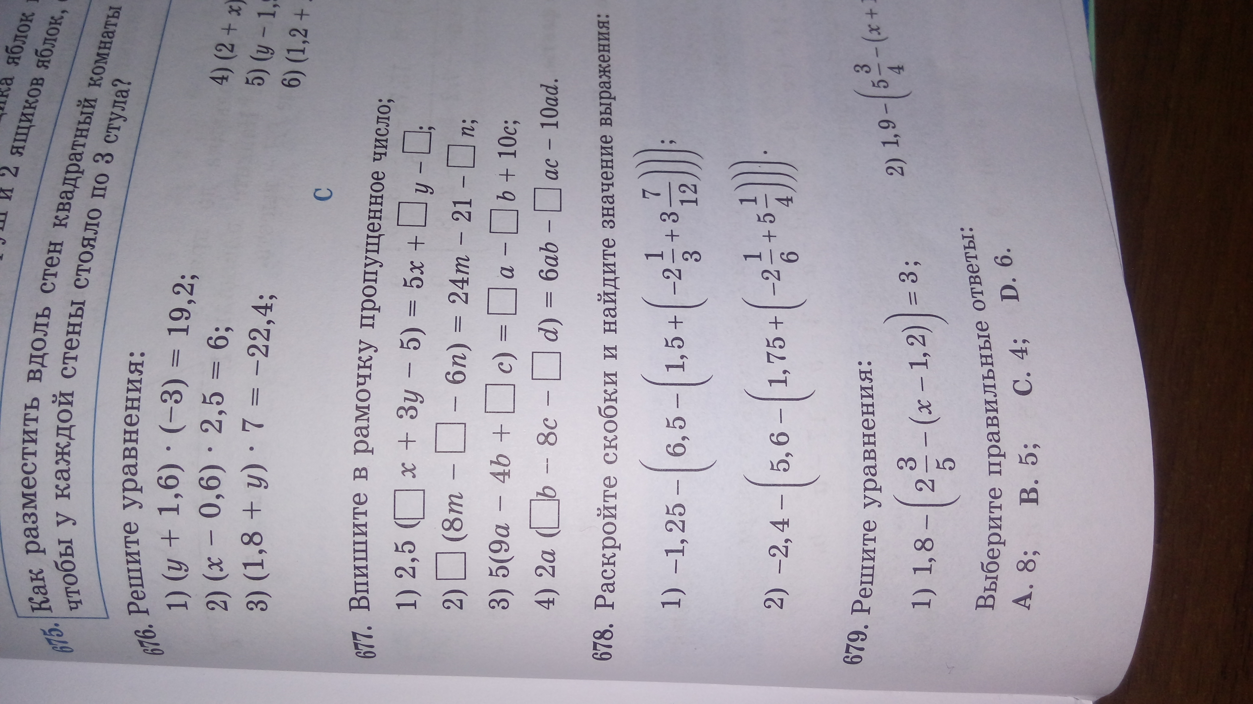
Раскройте скобки и найдите значение выражения: сделайте пожалуйста 1 примеи прошууу!!

Приложения:

Ответы

Ответ дал: KannaChanDo
0
Главное - не запутаться в скобках
Приложения:
Ответ дал: asg94445
0
Спасибо большое!!!
Вас заинтересует