• Предмет: Алгебра
  • Автор: saratovzeva4
  • Вопрос задан 8 лет назад

Даю 30 б. Напишите пожалуйста ответ. Срочно

Приложения:

Ответы

Ответ дал: namiko087
0
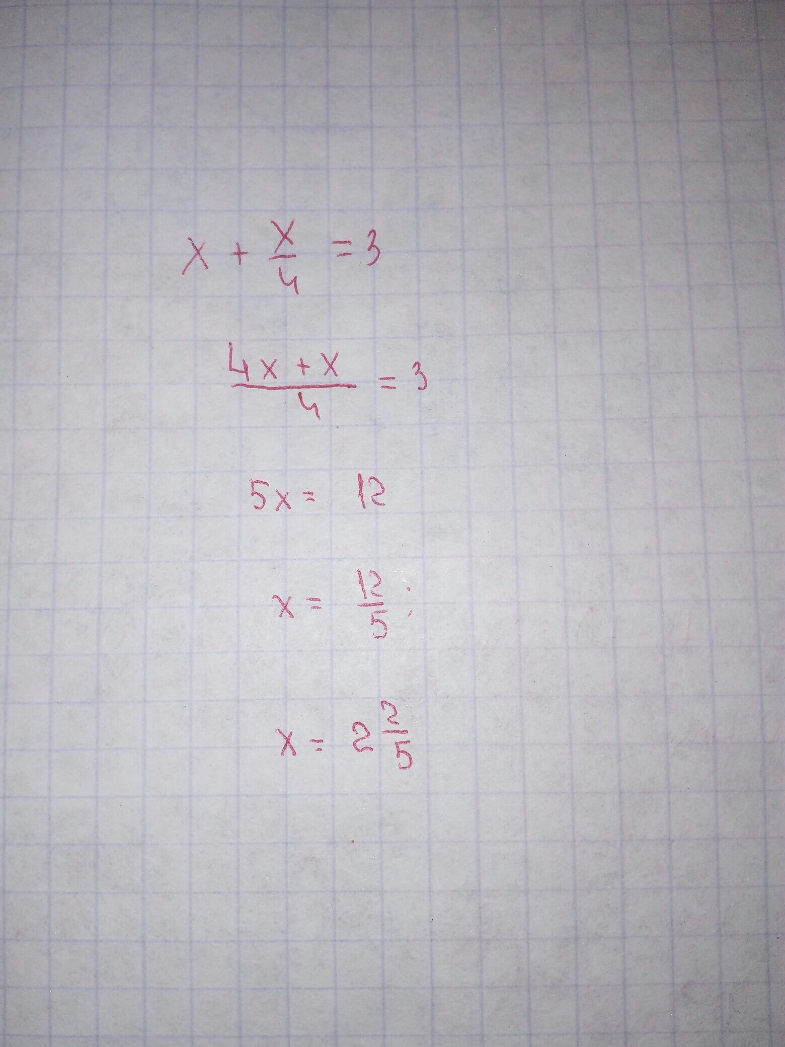
Ну вот решение, вроде как...
Приложения:
Ответ дал: 7kbilalova
0

Ответ✅

.

.

.

.

.

.

.

.

Внизу ☆

Приложения:
Вас заинтересует