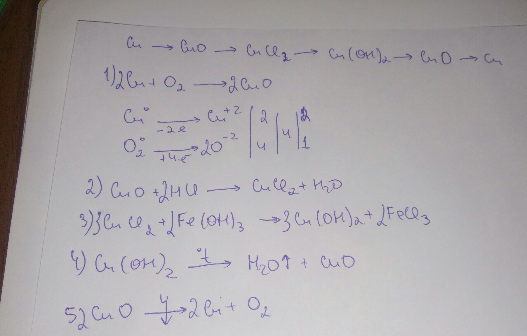
2 и 3 задания, рио значит в трех видах записать, а овр окислительно восстановительная реакция.
Приложения:

Ответы
Ответ дал:
0
ответ............... ..
Приложения:

Ответ дал:
0
fes+h2o(эл. ток)---fe...........
Ответ дал:
0
fes+h2o(эл. ток)---fe
Ответ дал:
0
fes+h2o(эл. ток)---fe...........
Ответ дал:
0
ойй
Вас заинтересует
2 года назад
3 года назад
3 года назад
9 лет назад
9 лет назад
9 лет назад