• Предмет: Алгебра
  • Автор: olya9649
  • Вопрос задан 8 лет назад

Помогите плиззз!Желательно решить на листочке)

Приложения:

Ответы

Ответ дал: sudnd
0

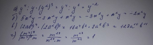
Решается с помощью основных св-в степени:

Приложения:
Ответ дал: olya9649
0
Спасибо большое!А это точно правильный ответ?
Ответ дал: shaman4sv
0
Да, все правильно.
Ответ дал: sudnd
0
Ошиблась под а. Там у^-3
Ответ дал: shaman4sv
0

Вроде правильно) Давно уже проходил это. Под буквой в) Ответ: 128а10b11

Приложения:
Вас заинтересует