ПОМОГИТЕ СРОЧНО!
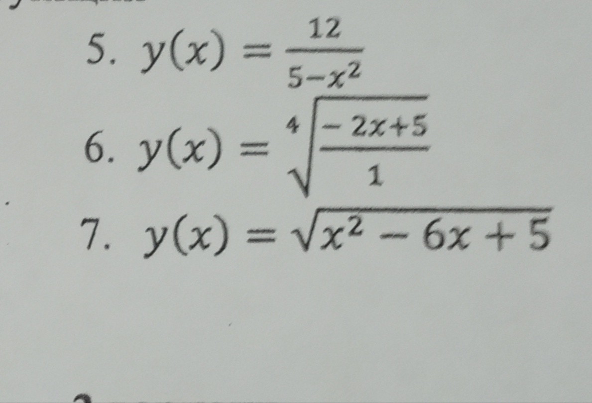
НУЖНО НАЙТИ ОБЛАСТЬ ОПРЕДЕЛЕНИЯ ФУНКЦИЙ С РИСУНКАМИ
БУДУ ОЧЕНЬ БЛАГОДАРЕН
Приложения:
Ответы
Ответ дал:
0
!!!!!!!!!!!!!!!!!!!!!!!!!!!!!!!!!!!!!!!1
Приложения:
Вас заинтересует
2 года назад
2 года назад
3 года назад
3 года назад
9 лет назад
9 лет назад
10 лет назад