ПОМОГИТЕ СРОЧНО!
НУЖНО НАЙТИ ОБЛАСТЬ ОПРЕДЕЛЕНИЯ ФУНКЦИЙ С РИСУНКАМИ
БУДУ ОЧЕНЬ БЛАГОДАРЕН
Приложения:
Ответы
Ответ дал:
0
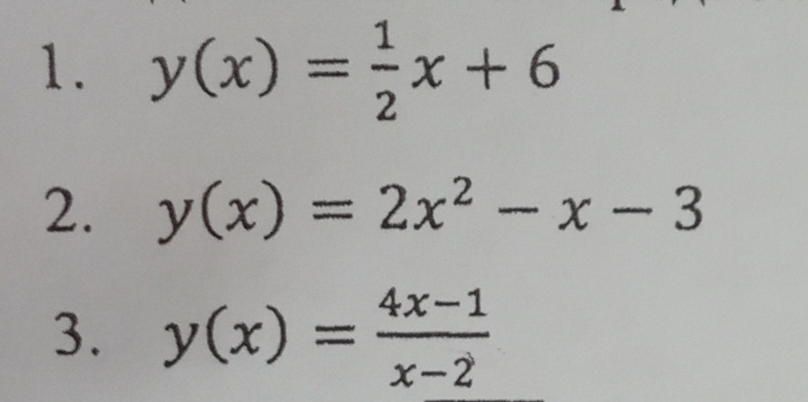
1) х принадлежит (-∞; ∞)
2) х принадлежит (-∞;∞)
3 х принадлежит (-∞;2) и (2;∞)
2) х принадлежит (-∞;∞)
3 х принадлежит (-∞;2) и (2;∞)
Приложения:
Ответ дал:
0
это не то
Ответ дал:
0
а что нужно было?
Ответ дал:
0
с полным решением
Ответ дал:
0
сколько времени на решение этого осталось?
Вас заинтересует
2 года назад
2 года назад
3 года назад
3 года назад
9 лет назад
9 лет назад
10 лет назад