• Предмет: Алгебра
  • Автор: abylaiubitsa
  • Вопрос задан 8 лет назад

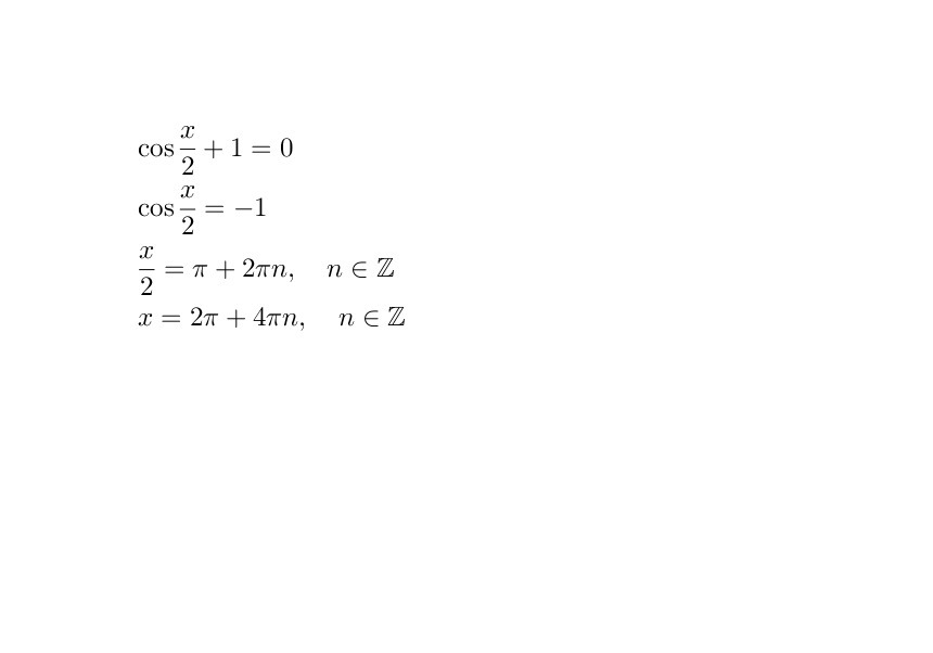
cos (x/2)+1=0 помогите пожалуйста решить

Ответы

Ответ дал: genius20
0

Если появятся какие-нибудь вопросы — задавайте.


Если моё решение оказалось полезным, смело отмечайте его как «лучший ответ».

Приложения:
Вас заинтересует