Ответы
Ответ дал:
0
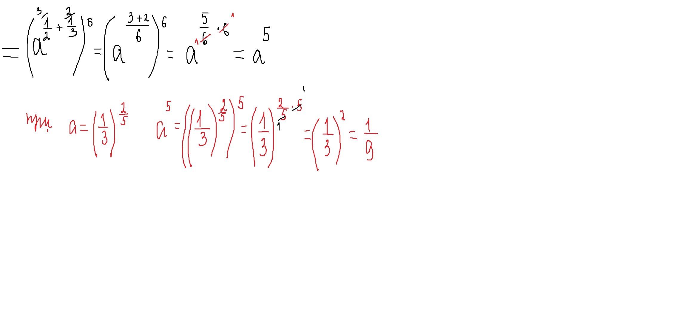
Тут формула (aⁿ)ˣ = aⁿˣ
Тогда у вас дадим степень 6 и а в 1/2 и а в 1/3
(a¹⁾²· a¹⁾³)⁶ = a¹⁾²*⁶· a¹⁾³*⁶ = a³·a² = a³⁺² = a⁵ (при умножении степени складываются)
Теперь подставим наше значение а в цифрах
( () ²⁾⁵ ) ⁵ = (
) ²⁾⁵*⁵ = (
) ² =
Ответ
Ответ дал:
0
решение смотри внизу
Приложения:

Вас заинтересует
2 года назад
3 года назад
3 года назад
9 лет назад
9 лет назад
9 лет назад