• Предмет: Алгебра
  • Автор: 9468177
  • Вопрос задан 8 лет назад

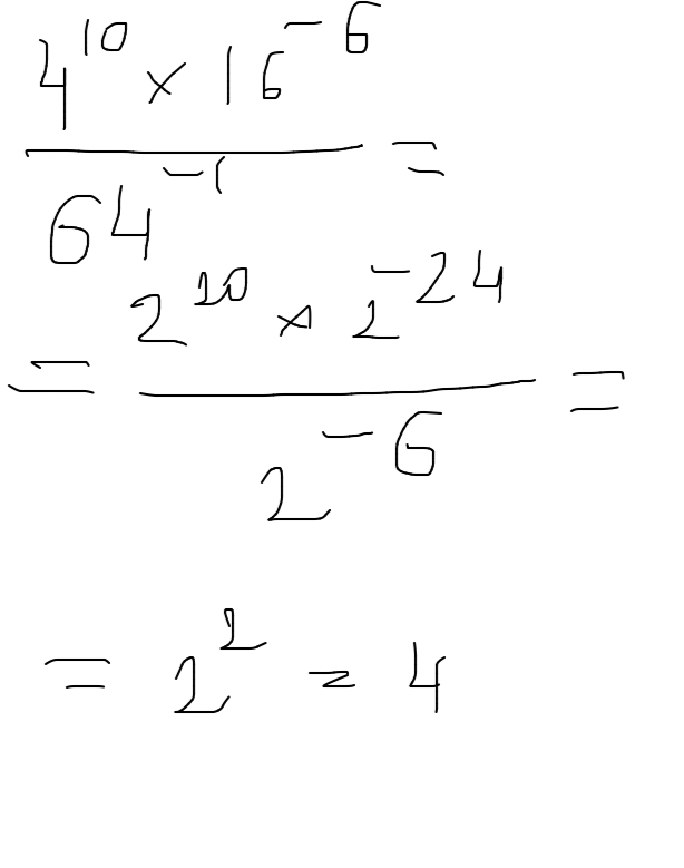
(4 в 10 степени умножить на 16 в -6 степени) разделить на 64 в -1 степени

Ответы

Ответ дал: FossaPrise
0

4^10 = 1048576

16^-6 = 0,000000059604644775390625

64^-1 = 0,015625

4^10 * 16^-6 / 64^-1 = 1048576 * 0,000000059604644775390625 / 0,015625 = 4

Ответ дал: tatnik12
0

если записать 4=2^2; 16=2^4; 64=2^6 получим 2^20*2^(–24)=2^(–4)

2^(–4)/2^(–6)=2^2=4

Приложения:
Вас заинтересует