На шнуре перекинутом через неподвижный блок ,подвешенны на одном уровне ,грузы массой 200 и 300г.Найти ускорение грузов.
Ответы
Ответ дал:
0
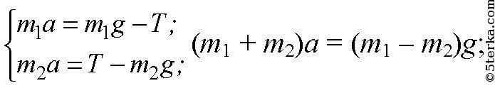
Дано:
m1 = 0,3 кг; m2 = 0,2 кг.
Найти а, Т.
Решение.
Ответ: a = 2 м/с2, T = 2,4 Н
Приложения:



Вас заинтересует
2 года назад
3 года назад
9 лет назад
9 лет назад