• Предмет: Алгебра
  • Автор: MisterHipster
  • Вопрос задан 8 лет назад

Hello! Друзья, кому не сложно, help! Не знаю что делать. С решением. Дам 35 баллов. До 15:00 нужно! Спасибо)

Приложения:

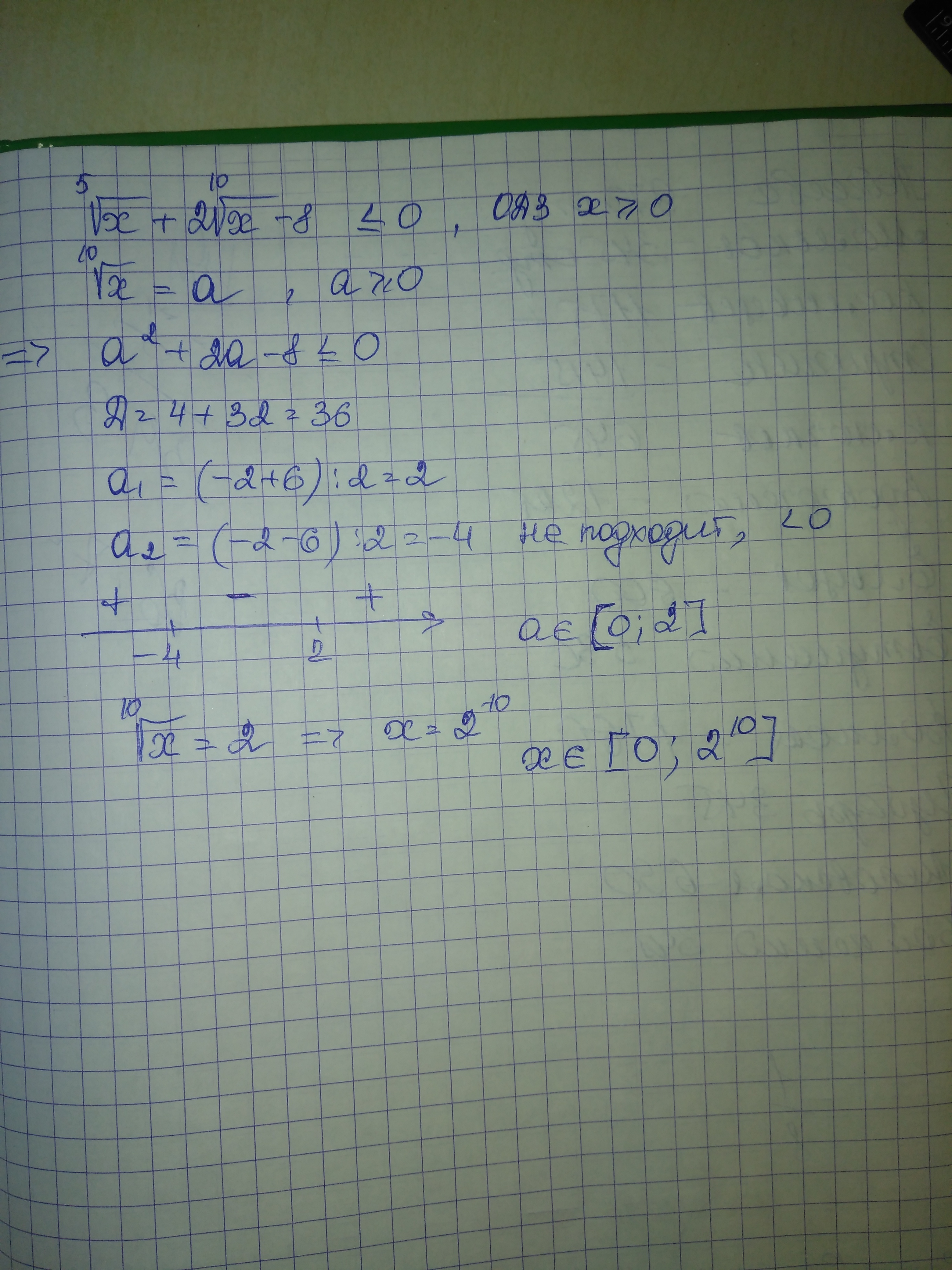
Ответы

Ответ дал: MizoriesKun
0

Смотри...............

Приложения:
Ответ дал: MizoriesKun
0
Удачи ))
Ответ дал: MisterHipster
0
И Вам)
Ответ дал: MisterHipster
0
Хотел поставить Ваш ответ как лучший, что-то не могу найти где)
Ответ дал: MizoriesKun
0
Потом будет ссылка ))
Ответ дал: MisterHipster
0
Понятно))
Вас заинтересует