• Предмет: Литература
  • Автор: amiryulchiev62
  • Вопрос задан 8 лет назад

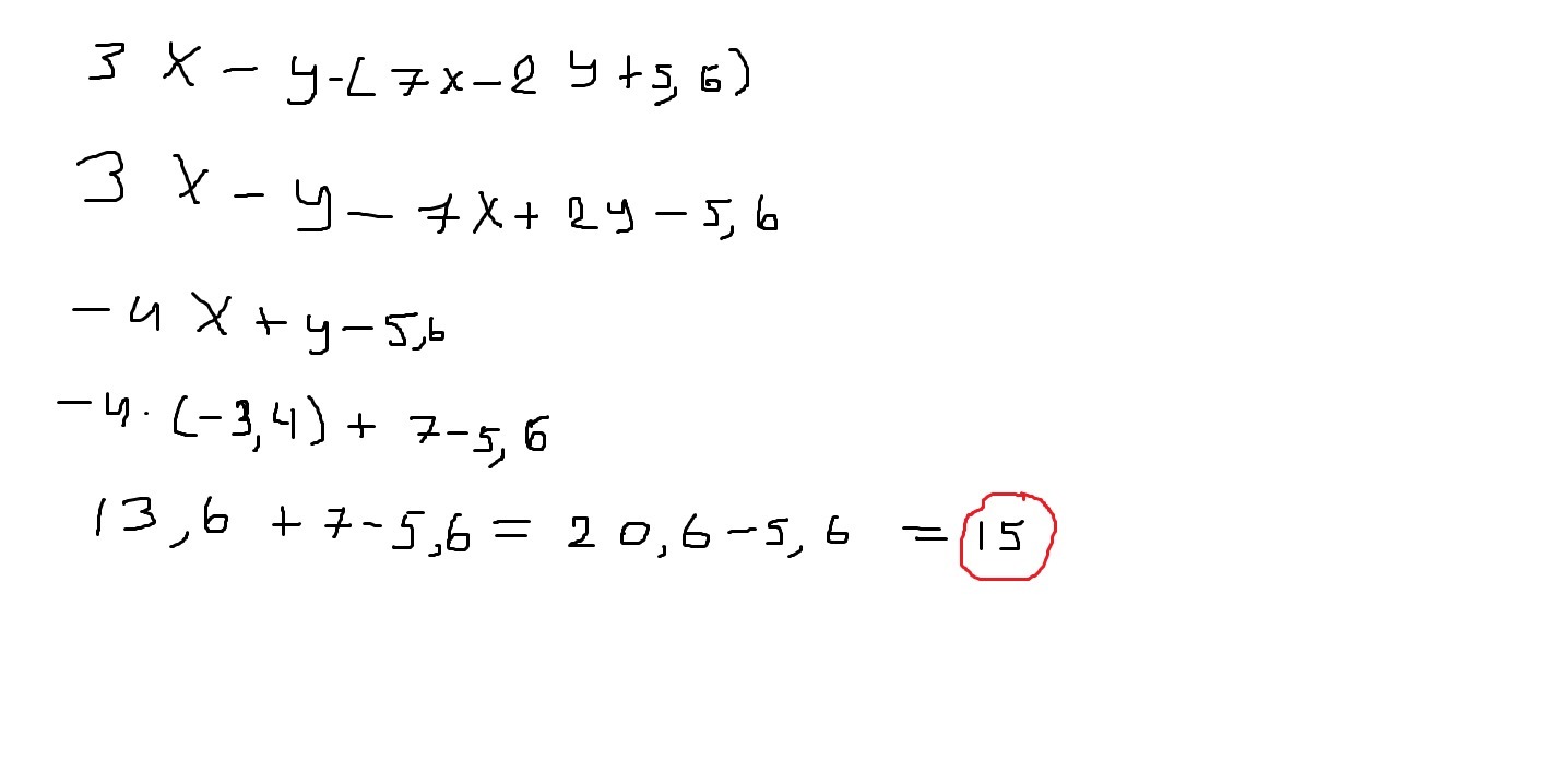
3x-y-(7x-2y+5,6)при x=-3,4; y=7

Ответы

Ответ дал: rodgerman
0

Легко и просто.Вроде правильно решил


Приложения:
Вас заинтересует