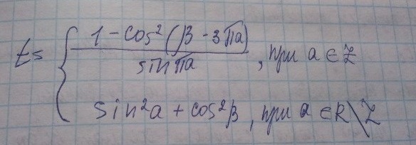
как написать на паскале выражение(первое)  t:=(1- ..       ?

Приложения:

Ответы

Ответ дал: kirlys
0
if (a=Round(a))then t:=1-sqr(cos(b-3*pi*a))/sin(pi*a) else t:=sqr(sin(a))+sqr(cos(b));
Вас заинтересует