• Предмет: Алгебра
  • Автор: Аноним
  • Вопрос задан 8 лет назад

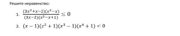
20 баллов очень легкая задача !СРОЧНО ! СПАСИБО!
желательно напишите на листочке

Приложения:

Ответы

Ответ дал: MeDi0N
0

...........................

Приложения:
Ответ дал: MeDi0N
0
что именно?( skype? viber?)
Ответ дал: wik89472001
0
имо есть?
Ответ дал: MeDi0N
0
viber
Ответ дал: MeDi0N
0
имо нет
Ответ дал: MeDi0N
0
Странно от вас получить вот такое сообщение: " почему бы вам в команду Знатоков?". : )
Вас заинтересует