• Предмет: Математика
  • Автор: Angelina598
  • Вопрос задан 8 лет назад

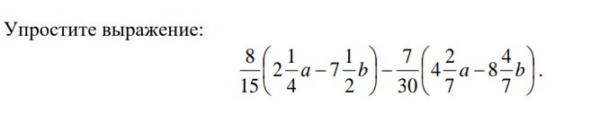
Помогите пожалуйста!

Приложения:

Ответы

Ответ дал: Аноним
0

Ответ:

1/5a - 2b

Пошаговое объяснение:

По действиям

1. 8/15 * 2 1/4а - 8/15 * 7 1/2b = 8/15 * 9/4а - 8/15 * 15/2b = 6/5a - 4b

2. -7/30 * 4 2/7a + 7/30 * 8 4/7b = -7/30 * 30/7a + 7/30 * 60/7b = -a + 2b минус на минус дает плюс

3.  6/5a - 4b  - a + 2b = 1/5а - 2b

Ответ дал: Angelina598
0
cgfcb,j
Ответ дал: Angelina598
0
спасибо)
Ответ дал: Аноним
0
Пожалуйста)
Ответ дал: xxxeol
0

Пошаговое объяснение:

Раскрываем скобки и приводим подобные члены:

1 1/5*a  - 4*b  - a + 2b = 1/5a - 2*b - ответ

Ответ дал: Angelina598
0
спасибо!
Вас заинтересует